ERS Bookshop
Lung Transplantation
Lung Transplantation
Couldn't load pickup availability
Edited by Michael Perch, Federica Meloni and Robin Vos
Most people are familiar with the general concept of lung transplantation. Yet the actual number of patients who receive a transplant is limited, and the number of healthcare workers dedicated to this area remains restricted to staff at selected, highly specialised centres. This Monograph provides an excellent tool for ensuring the knowledge gap between the "basic" and "highly specialised" healthcare worker remains as small as possible. Aimed at healthcare professionals across the respiratory field, the book covers: medical and surgical treatment of advance lung disease prior to transplantation; the identification, optimisation and availability of donor organs; and both early and long-term post-lung transplant management. Readers will find it to be a comprehensive and state-of-the-art overview of recent progress in the field and current best practices.
Contents list
1. Indication, patient selection and timing of referral for lung transplantation
Maximising medical and surgical treatment of advanced lung disease prior to transplantation
2. Chronic obstructive pulmonary disease
3. Pulmonary fibrosis
4. Cystic fibrosis
5. Pulmonary hypertension
6. Lung transplantation for rare indications
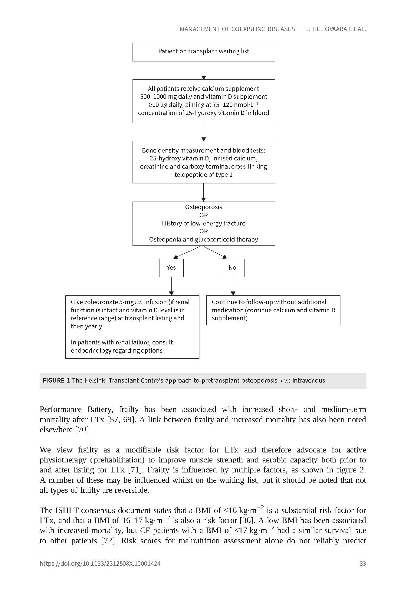
7. Pretransplant management of coexisting diseases
Identification, optimisation and increased availability of donor organs
8. Donor selection, donor management and donor offer procedures
9. Allocation of donor lungs
10. Methods and practices to increase the donor pool in adult lung transplantation
Early post-lung transplant management
11. Early perioperative care
12. Non-infectious complications: mechanical
13. Immunosuppression
14. Infectious complications
Long-term post-lung transplant management
15. Chronic lung allograft dysfunction
16. Risk factors for chronic lung allograft dysfunction and graft surveillance
17. Outcomes and functional results of lung transplantation
18. Post-transplant lymphoproliferative disease and other malignancies
19. Paediatric aspects of lung transplantation
Considering the patient and looking to the future
20. Lung transplantation: the patient perspective
21. New frontiers in lung transplantation: a bioengineering perspective
Print ISBN: 978-1-84984-184-9
eISBN: 978-1-84984-185-6
EPUB ISBN: 978-1-84984-186-3





